Are Senshu University graduates awkward? I want to know the deviation score, tuition fees, reputation, etc.
Senshu University is a member of the Nippon University League. The deviation value is around 50, so it is by no means an embarrassing university.
In this article, we will explain the details and reputation of Senshu University, allowing you to understand the real situation and reputation of the university and alleviate any concerns before enrollment.

Details of Senshu University
Basic Information of Senshu University
The basic information of Senshu University is as follows.
| School Name | Senshu University |
| Location | 3-8 Kanda Jimbocho, Chiyoda-ku, Tokyo |
| Phone Number | 03-3265-5973 |
| Year Established | April 1923 |
| Faculties | School of Economics, School of Law, School of Business, School of Letters, School of Human Sciences, School of International Communication, School of Network Information |
| Number of Students | 17,046 |
| Number of Faculty | 1,108 |
Senshu University is a very large private university.
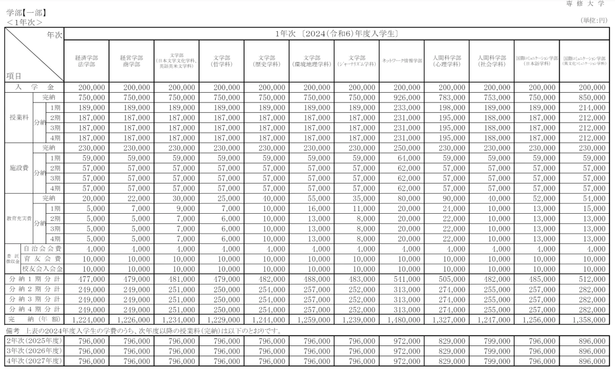
Tuition Fees at Senshu University
The tuition fees at Senshu University are shown in the figure below.

Due to the admission fee, the tuition fee will be reduced from the second year onwards.
If you want to know more about the tuition fees at Senshu University, please refer to the "Tuition Fees" page on the Senshu University website.
Deviation Value of Senshu University
The table below summarizes the deviation scores for each faculty at Senshu University.
| Faculty | Department | Deviation Score |
| School of Economics | Department of Modern Economics | 50.0 |
| Department of Life and Environment Economics | 50.0 | |
| Department of International Economics | 50.0 | |
| School of Law | Department of Law | 52.5 |
| Department of Political Science | 52.5 | |
| School of Business Administration | Department of Business Administration | 52.5 |
| Department of Business Design | 52.5 | |
| School of Commerce | Department of Marketing | 55.0 |
| Department of Accounting | 52.5 | |
| School of Letters | Department of Japanese Language and Literature | 57.5 |
| Department of English and American Literature | 52.5 | |
| Department of Philosophy | 52.5 | |
| Department of History | 52.5 | |
| Department of Environmental Geography | 50.0 | |
| Department of Journalism | 52.5 | |
| School of Human Sciences | Department of Psychology | 55.0 |
| Department of Sociology | 52.5 | |
| School of International Communication | Department of Japanese Language | 52.5 |
| Department of Intercultural Communication | 55.0 | |
| School of Network Information | Department of Network Information | 52.5 |
All faculties at Senshu University have a standard deviation score of over 50, so it is not an F-ranked university.
Additionally, Senshu University ranks 122nd out of 767 universities and 59th out of 589 private universities in the deviation ranking.
The university is in the top 20%, so it is of a high standard.
Employment Opportunities at Senshu University
The employment rate at Senshu University is 94.5%.
The occupations and locations of employment across various industries are shown in the figures below.


If you want to know more about the employment records at Senshu University, please refer to the "Career Paths Data" on the Senshu University website.
Notable Alumni of Senshu University
Senshu University boasts 299 notable alumni.
Here are some prominent examples.
- Nasubi (Comedian)
- Takao Ito (Former Ski Jumper)
- Hide (Comedian)
- Takuya Ito (Former Professional Soccer Player)
- Hisashi Inatsu (Member of the House of Representatives)
- Kenichiro Okamoto (Former Professional Baseball Player)
- Rosa Kato (Actress)
- Kiyomi Kato (Wrestler)
- Yuki Kikuchi (Former Basketball Player)
- Masayoshi Kakui (Former Announcer)
- Akinori Sakai (Former Soccer Player)
- Tomohiro Kondo (Professional Golfer)
- Masashi Kuriyama (Volleyball Player)
- Takahisa Genpei (Former Soccer Player)
- Hitoshi Egusa (Professional Baseball Player)
- Hiroki Kuroda (Professional Baseball Player)
- Masaharu Sato (Former Baseball Player)
- Shunsuke Sasaki (Novelist)
- Isao Mimura (Former Professional Baseball Player)
- Ikuzo Saito (Former Wrestler)
Most of them are athletes and celebrities.
If you want to know all 299 alumni, please check "Notable Alumni of Senshu University".
Senshu University's Social Media
Click here to view Senshu University's YouTube channel.

This channel primarily features interviews with current students and videos introducing lecture content.
Below is a campus tour video, ideal for those who want to experience the campus atmosphere.
Senshu University also has an X account.

On Twitter, information about events at Senshu University is posted.
Reputation and Reviews of Senshu University
Reputation ①: Excellent Location
Below is a map of the area surrounding Senshu University.

Here are the walking times from nearby stations:
- 1 minute from Kudanshita Station
- 3 minutes from Jimbocho Station
- 7 minutes from Suidobashi Station
Senshu University is situated in a prime location.
Reputation ②: Affordable Cafeteria
The university cafeteria is very affordable! You can enjoy curry for just 390 yen!
While private university cafeterias are often perceived as expensive, Senshu University's cafeteria offers very reasonable prices.
The campus also features a Mos Burger. For more information about Senshu University's cafeteria, please refer to the "Cafeteria" section on Senshu University's website.
Reputation ③: Spacious Campus
Below is a map of Senshu University's campus.

As a university with a large student body, the campus is very spacious.
Review ①: Male / Department of Business Administration, Accounting Major / Current Student / Enrolled in 2023
Overall Evaluation
I recommend this university to those interested in finance-related careers such as bookkeeping, accounting, and financial services. Many students are dedicated to obtaining certifications, providing a motivated environment. However, if you take exams without proper preparation, they can be quite challenging, so it's advisable to research and understand the subjects beforehand.
Lectures/Classes
As the name suggests, there are numerous lectures on bookkeeping in the accounting department.
Employment/Advancement
Many students actively pursue certifications, and the department is affiliated with major external preparatory schools, enhancing the support for qualification exams. The university provides solid support in this regard.
Access/Location
The campus is centrally located and easily accessible. The nearest stations are Kudanshita, Jimbocho, and Suidobashi. I use Jimbocho Station, which is generally convenient except during peak hours. The campus is within walking distance, making the location quite favorable. There are plenty of dining options in the Jimbocho area.
Facilities/Equipment
Building 10 is impressive, but the main Building 1 shows signs of age. The cafeteria is small, leading to crowding, especially after the second period. I usually eat at a restaurant in Jimbocho. The library is clean but often full.
Friends/Romance
You can navigate university life alone, but many people value deep relationships within a small social circle. Those who make a flashy debut often leave a negative impression, so caution is advised.
Student Life
I'm not part of any club, but connecting with seniors might help you access past exam papers and valuable information. For the bookkeeping courses, self-study is efficient as most resources are available. This approach also prepares you well for certification exams and future careers.
Review ②: Female / Faculty of Letters, Journalism Department / Current Student / Enrolled in 2023
Overall Evaluation
Many courses are specialized and engaging. I recommend it to those unsure about their future, as it offers various paths to explore.
Lectures/Classes
The faculty includes many active professionals, providing firsthand insights in their lectures.
Employment/Advancement
There is a dedicated department for job placements, making it beneficial to participate from the first year.
Transportation/Location
The campus is far from the station, requiring a bus ride that takes 15 to 20 minutes.
Facilities/Equipment
The campus buildings are interconnected and complex, with many sports facilities.
Friends/Romance
There are introductory seminars for making friends. Most students continue relationships from high school or junior high.
Student Life
There are various clubs and circles with many dedicated members.
Review ③: Male / Faculty of Business Administration, Commercial Design Department / Current Student / Enrolled in 2023
Overall Evaluation
This is a great university for those who want to enjoy university life. It offers a conducive environment for in-depth study and learning, provided you stay focused.
Lectures/Classes
Basic management courses are mandatory in the first year. The difficulty varies by instructor, and the learning experience is what you make of it.
Laboratories/Seminars
I haven't started seminars yet, as they begin in the third year. Seminar selection starts in the second year.
Employment/Advancement
The Commercial Design Department is relatively new, so its track record for employment is still developing.
Transportation/Location
Reaching the campus from Yoyogi-Uehara Station involves a steep climb, almost like hiking, taking about 20 minutes. It's strenuous, especially in summer and winter. The area around the station has many dining options and is undergoing development, making it more lively.
Facilities/Equipment
The campus is large, making it difficult to navigate, but it offers an expansive university experience.
Friends/Romance
Regarding romance, taking the initiative is essential. For friendships, initial groups form during orientation, making it challenging to join later. The Commercial Design Department students appear flashy but are friendly upon interaction.
Student Life
There are various circles and clubs, with opportunities to start new ones. Activities are relatively relaxed compared to other universities.





